
快速城市化地区是目前人类活动最集中和剧烈的区域,同时也是社会、经济和环境问题最典型的区域。深入了解城市形态演变过程与机理,构建适宜的城市空间形态定量化评价模型,探究城市交通、居住和生态环境的可持续性及其物质空间规划策略,对于推进我国城市可持续发展、合理利用和保护区域生态环境具有重要的现实意义,也是我国城市发展的紧迫需求。
城市空间形态模型构建
在城市紧凑度算法的基础上,构建城市空间形态定量化评价模型,即标准化紧凑度指数(normalized compactness index,NCI),实现测算结果的标准化,便于城市之间或同一城市不同时段间的城市空间形态紧凑程度的比较分析,为城市空间形态紧凑程度的定量评价提供了一种新的技术方法。
图1 我国城市空间形态演化(2000~2010年)
城市形态与交通出行模式
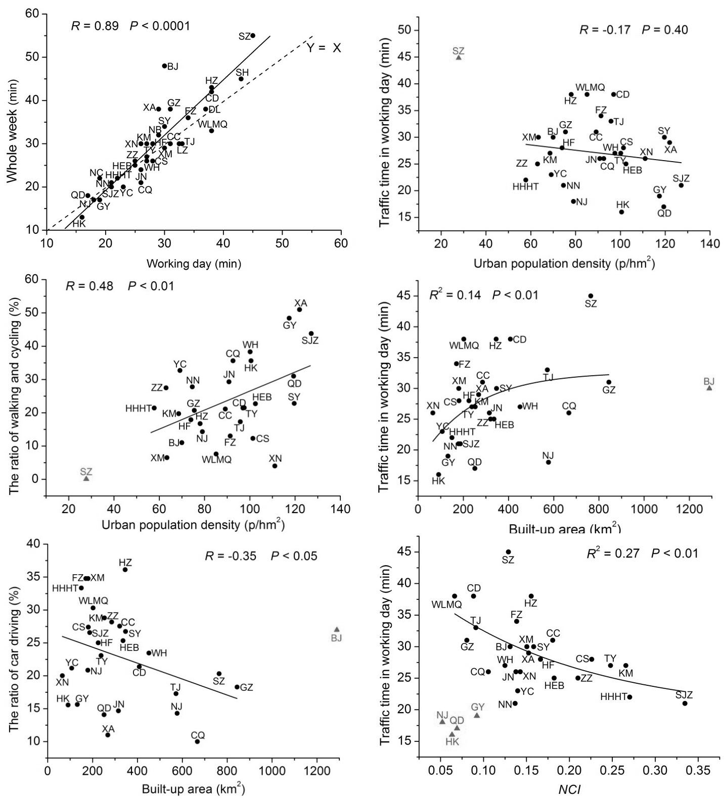
以代表性案例城市为研究对象,通过城市居民交通出行问卷调查和城市形态定量化方法,探讨城市形态与居民交通出行时间和出行方式选择之间的关系。
图2 案例城市 图3 常用交通工具使用率 图4 城市形态与交通效率
结 论
居民交通出行时间基本不受城市密度的影响,且我国尚未出现小汽车使用率随城市建成区的扩张而快速增长的现象,然而适度的城市规模和用地紧凑性有利于缩短交通出行时间、提高交通效率。
本成果由国家自然科学基金项目(项目名称:基于多源遥感的城市绿地热环境效应研究 41301484)资助
项目负责人:宋瑜 参加人员:刘婷、张伟、潘君斌、唐尧