
城市绿地作为城市生态系统的重要组分,其缓解城市热岛、调节城市小气候的作用已被证实。然而,城市用地的稀缺性使得城市绿地不可能无限制地增加。因此,如何优化城市绿地空间布局以实现城市绿地降温效应的最大化,依然是城市绿地空间规划研究中的热点和难点。
地表温度
基于Landsat TM数据的地表温度反演 基于MODIS数据的热力景观分析
热环境效应
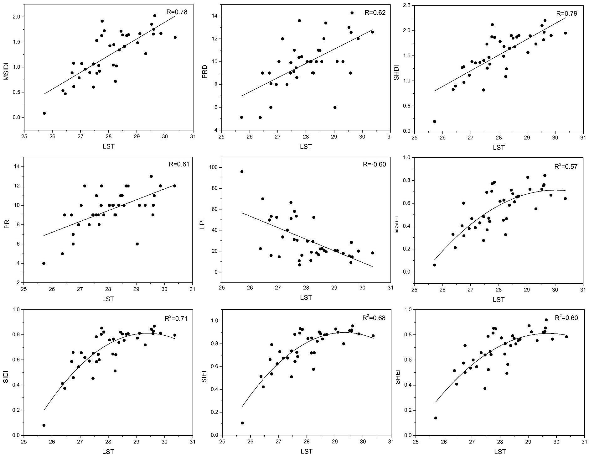
不同下垫面地表温度的季节变化 景观指数与地表温度的拟合曲线
研究结果
本研究以杭州为研究区,基于长时间序列的MODIS地表温度产品和多时相的Landsat热红外数据,综合利用景观指数、空间分析和统计分析等技术方法,基本阐明了绿地结构与景观格局对地表温度的影响机制。
本成果由国家自然科学基金项目(项目名称:基于多源遥感的城市绿地热环境效应研究 41301484)资助
负责人:宋瑜 参与人员:刘婷 唐尧 张伟 王春叶